90后难忘的歌曲 #90后回忆杀 #90后经典歌曲回忆杀 #90后回忆杀暴击 #无损音乐 ...
陪 你一起度过青春的歌曲 MP3 合集自取不谢 500首+与90后一起度过青春的经典歌曲 ...
超全音乐合集独属80 90的青春回忆 挖到宝!2025超全音乐合集,独属80 90的青...
90后的你最喜欢听什么歌 90后的我们,歌单里藏着一整个青春。耳机里随机切到《七里香》前奏...
90后校园歌曲 ...
第13期 | 广东90后这样唱张敬轩 🏳️久违的恶搞来啦~张敬轩的歌真的是空耳大会评...
你还会按专辑的顺序一首一首听歌吗 现在听歌真的太方便了,可以拿起手机就随意...
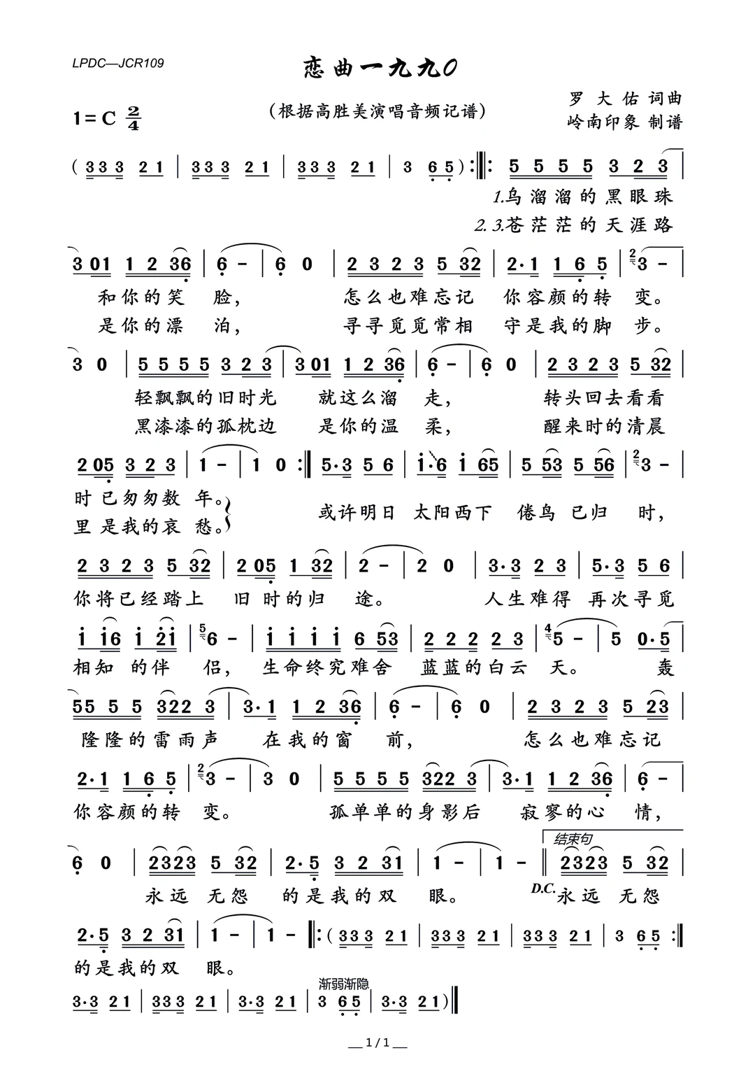
《恋曲1990》简谱分享 分享一首经典歌曲哦~#简谱 #声乐 #简谱教学...
KTV必点的179首华语歌,每首都在戳你的青春! 谁的KTV必点歌单里,没有这几首“...
是你童年时期音乐课听过的歌吗 小时候的音乐课真的超级喜欢,可以听到喜欢的歌,可以放轻松去...