夸克网盘音乐歌曲分享(每日更新,保存后永久有效)新手三月份起号,每天更新- 觉得有用,点个...
听懂一首歌,便是读懂一段心事总有人说,爱听歌的人,多半是感性的。他们心里藏着太多无法言说的...
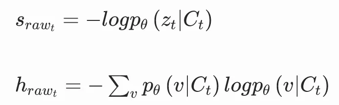
从脑波识别听过的歌:新模型读懂大脑对音乐的期待,准确率再创新高在预测编码理论框架中,音乐感...
每天一首歌曲:万事如意 张也2026.3.16星期一(Monday)(农历 正月廿八 )...
经典歌曲《苦乐年华》大家好!我是如绘原创,很高兴在这里认识大家。今天我为大家分享一首经典歌...
【才歌网】2026年3月16日服装、针织、裤袜、车缝、绣花 人才招聘信息东阳招挂片平车拷边...
《江南水巷》原创歌曲原创柔婉甜美好听的新歌《江南水巷》首发上线了!由卓玛老师与严冬飞雪联袂...
阳春三月,可以出去散散心,看看这歌曲里的春色哦-《雁双飞》 ...
原创歌曲|蒙古长调·因果谣作者|二月戈—————————————歌词精选:————————...
《滴水成歌》正式发布!3月22日,合肥见!3月22日,2026“节水中国行·安徽合肥”主题...